Диагностика и заправка авто-кондиционера в Волгограде

Тема в разделе "Авторемонт", создана пользователем Злой_гений, 12.04.21.

  1. andrusha

    andrusha Активный участник

    27.466
    5.233
    @colwaz, ничоси вы обосрались что ремень пришлось подтягивать:bigeyes::bigeyes::bigeyes:
     
  2. D_A_S

    D_A_S Активный участник

    1.685
    81
    а есть контакты человека, чтобы можно было созвониться заранее?
     
  3. алекс04

    алекс04 Активный участник

    718
    270
    @D_A_S, напиши в личку, отвечу с номером.
    Но, сейчас до него сложно дозвонится, он весь в работе.
    Надо в течение дня звонить время от времени, поймать момент, когда он будет свободен
     
  4. sema

    sema Активный участник

    19.027
    2.344
    Ты хочешь что-бы снег пошел? Температура теплообменника условно равна температуре кипения фреона (зависит от давления). Дальше уже теплофизическая задача - какая будет температура воздуха при заданной температуре, скорости и конструкции теплообменника.
    Как видишь каких-то постоянных температур тут ожидать не приходится.
     
    IvUs и Xolodok нравится это.
  5. Zuka58

    Zuka58 Активный участник

    4.559
    873
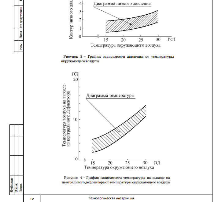
    более того, задается графиком от окружающего воздуха

    pn.png
     
  6. IvUs

    IvUs Активный участник

    13.319
    1.017
    Он хочет, чтобы испаритель быстро обмёрзал в кусок льда
     
    The Chief и sema нравится это.
  7. алекс04

    алекс04 Активный участник

    718
    270
    Некоторые хотят, чтобы в машине стало прохладнее от кондиционера, или теплее от печки, ( в зависимости от сезона) через 5 минут после запуска.
    Допустим, в машине ехать 15-20 минут. Даже к концу поездки температура в салоне не станет той, что вы хотите. В машине слишком много теплопотерь. Плюс сам салон отдаёт температуру.
    7 градусов из дефлектора, это очень хорошо. Салон охладится до комфортной температуры, но СО ВРЕМЕНЕМ, не сразу.
     
    NeonKIR, Xolodok и sema нравится это.
  8. 99999

    99999 Активный участник

    8.686
    1.862
    Датчик температуры испарителя не даст
     
    _m_a_d_m_a_n_ нравится это.
  9. saleksval

    saleksval Активный участник

    1.132
    445
    Ну это если это климатконтроль. Если просто кондей то там нет термодатчика (процентов на 90).
     
    sema нравится это.
  10. Rush-99

    Rush-99 Активный участник

    6.614
    34
    Небольшой пример в роли Ниссан Кашкай j10 на климате с грязными радиаторами, машине больше 12 лет
     

    Вложения:

  11. sema

    sema Активный участник

    19.027
    2.344
    а какая там скорость воздушного потока?

    и сколько за бортом.
     
  12. Rush-99

    Rush-99 Активный участник

    6.614
    34
    Скорость средняя, температура сегодняшняя
     
  13. colwaz

    colwaz Читатель

    2.291
    1.136
    Почему с другими машинами сравниваешь ? Нужно с такой же как у тебя. Из простого , это салонный фильтр поменять .
     
  14. sema

    sema Активный участник

    19.027
    2.344
    Сегодня за бортом +20 едва ли наберется, а скорость средняя - это вообще дует или может быть где-нибудь забито, кстати типа салонник и скорость воздушного потока меньше штатной.
     
  15. Rush-99

    Rush-99 Активный участник

    6.614
    34
    @colwaz, @sema, вы оба думаете что до фильтра я не дошел? Абсурдно это обсуждать. Нужен спец, а не теоретики гадания на пальцах
     
  16. Xolodok

    Xolodok Активный участник

    28.031
    3.143
    Для чего?
    Нет жесткого регламента для температуры выхода из сопла!

    Это у тормозного диска есть размер в миллиметрах, у давления масла : бары, при определённых оборотах, у генератора Вольты... А у кондиционера нет такой границы. 6-7 градусов, вполне норм.

    Чего в итоге хочется?
     
  17. colwaz

    colwaz Читатель

    2.291
    1.136
    Ты скажи , почему ты сравниваешь с кашкаем , а не со своей машиной ? Так и с мерседесом сравнить можно . На разных машинах , разные кондеры по мощности и прочее. Тупо может быть , что у твоей машины больше и не получится .

    Точнее, меньше .
     
  18. Rush-99

    Rush-99 Активный участник

    6.614
    34
    @colwaz, поэтому нужен спец, который об этом знает и готов меня просветить. А может есть отклонения? Мне как узнать об этом?
     
  19. sema

    sema Активный участник

    19.027
    2.344
  20. Rush-99

    Rush-99 Активный участник

    6.614
    34
    @sema, не видел ещё ни одного толкового специалиста, графики эти в Гугле есть. Я привел пример и все тут же замолчали про "кусок льда". У меня климат, заслонки все работают отменно, датчик обледенения на испарителе есть, но правильно ли сопротивление у него? Мануала у меня нет. Кашкай пример привел, т.к. он тоже на климате и у меня тот же бренд, года выпуска примерно одинаковые
     
  21. sema

    sema Активный участник

    19.027
    2.344
    С таким подходом и не увидишь.

    Какой конкретно у тебя фреон, какое давление, какой производительности компрессор и системы в целом. Вот не уверен что на всех поголовно ниссанах одинаковые параметры из вышеперечисленного.
    У тебя плохо холодить стал? В жару не справляется? Какие-нибудь еще симптомы есть, кроме цифр на термометре?
     
    saleksval нравится это.
  22. 99999

    99999 Активный участник

    8.686
    1.862
    какие то бредовые вопросы....
     
  23. sema

    sema Активный участник

    19.027
    2.344
    @99999, вы же в курсе как тепловой насос работает?
     
  24. 99999

    99999 Активный участник

    8.686
    1.862
    Вы в курсе почему а/кондиционеры заправляются строго по весам, а давление несет косвенный признак? И почему в системах а/кондиционирования применяется фреон 134?
     
  25. Xolodok

    Xolodok Активный участник

    28.031
    3.143
    Давление, это основной показатель, исправности системы, точнее два давления - низкого контура и высокого.
     
  26. 99999

    99999 Активный участник

    8.686
    1.862
    Читай внимательно: я написал о норме заправки ! Ты заправляешь АС по давлению или по норме веса, указанному в документах?
     
  27. sema

    sema Активный участник

    19.027
    2.344
    Только температура кипения фреона зависит не от массы хладогента, а от давления. И правильная заправка по температуре перегрева.

    134a ты имел ввиду? А где R1234yf, 404а, R600?
     
  28. 99999

    99999 Активный участник

    8.686
    1.862
    У каждой системы АС есть норма заправки, ее пишут не зря. А расшифруй норму заправки "по температуре перегрева"- ты просто загуглил что ли умные слова?:d
     
  29. Xolodok

    Xolodok Активный участник

    28.031
    3.143
    Конечно же по давлению.. Из 500 грамм 100 не будет хватать, холод будет.
    Это я, Холодок, тебе говорю