Путин заявил о частичной мобилизации в РФ

Тема в разделе "Политика", создана пользователем Афиноген, 21.09.22.

  1. Вениамин

    Вениамин Активный участник

    10.460
    1.944
    Ну так вперед, в чем проблема?
     
    Deceiver нравится это.
  2. ksa

    ksa Активный участник

    4.808
    678
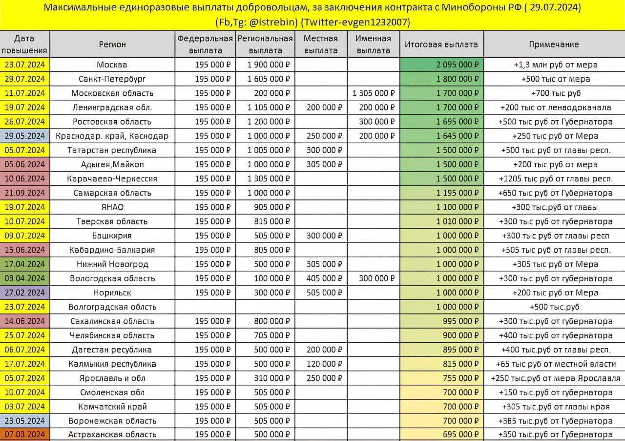
    На ТГ канале "Михаила Онуфриенко" есть фотка с таблицей, которую (с его слов) муссируют на Украине, де видал как там у них!
    Но меня обескуражила строка по "Волгоградской области". :facepalm:
     

    Вложения:

  3. Vazunga

    Vazunga Активный участник

    1.070
    201
    Чем обескуражила? Слишком мало или слишком много?
     
  4. ksa

    ksa Активный участник

    4.808
    678
    Пустой строкой...
     
  5. ksa

    ksa Активный участник

    4.808
    678
    Уже лучше.
     
  6. 99999

    99999 Активный участник

    8.686
    1.862
    Так там есть итого выплат 1 000 000+500 000
     
  7. Скрепин-Духовный

    Скрепин-Духовный Активный участник

    1.621
    399
    В этой таблице довольно много странного.
     
  8. Andron34rus

    Andron34rus Активный участник

    1.672
    177
    1900000.jpg
     
  9. Deceiver

    Deceiver Активный участник

    25.654
    7.796
    а зачем вы сюда всё это постите ? Нравятся выплаты ? Так вперёд, поход в военкомат для заключения контракта ни кому не заказан ! Получите денег море, может даже не один раз. Все дороги открыты !!!
     
    stalker2012 и sema нравится это.
  10. Andron34rus

    Andron34rus Активный участник

    1.672
    177
    Суть в том,что если через Москву идти на сво выплачивать деньги сразу будут в два раза дороже любого региона.
    Просто мало людей кто об этом знает.
     
  11. ahdpe

    ahdpe Активный участник

    4.518
    716
    А куда надо?
    Хорошие выплаты,знакомый себе уже вторую кв купил
     
  12. Deceiver

    Deceiver Активный участник

    25.654
    7.796
    я всегда думал что 2х2х1,5 один раз только полагается, а тут смотри ка, 2 места уже купил :)
     
    stalker2012 и sema нравится это.
  13. DjR

    DjR Активный участник

    4.145
    123
    Вообще об этом знают и пользуются очень многие, поэтому в регионах сейчас и невыполнение "плана" идёт, в том числе и по Влг...
     
  14. ванёк

    ванёк Активный участник

    6.404
    1.121
    ты с хохлами перепутал. у нас шансы вернуться живым оттуда очень неплохие, всреднем из 20 19 вернутся скорей всего. в ВОВ куда печальней было, из 7 вернулись только 5. а вот у хохлов да, печально.
     
  15. Deceiver

    Deceiver Активный участник

    25.654
    7.796
    @ванёк, ты советских газет на ночь меньше читай ...
    У меня там много знакомых и чёт у них статистика чуток другая ...
     
    saleksval, stalker2012, Ushelets и 2 другим нравится это.
  16. Bern

    Bern Активный участник

    786
    49
    Какая?
     
  17. Deceiver

    Deceiver Активный участник

    25.654
    7.796
    мрачная в основном ...
     
  18. ванёк

    ванёк Активный участник

    6.404
    1.121
    онже написал. что у его знакомых чуток другая. ну допустим.я написал 19 из 20 вернуца. а у них там допустим чуток иначе, например 18 из 19 или 20 из 21.
    чтобы понимать степень рисков, есть такой коптер Робинсон р-44, так вот там шансы умереть сопоставимые. если соотнести их число в РФ и число убитых ими людей. но есть огромная разница - если умер на Р-44 значит -разгильдяй и долбойеп в большинстве случаев, а погиб на сво -герой.
     
  19. ванёк

    ванёк Активный участник

    6.404
    1.121
    если у РФ по твоему мнению мрачная. то как тогда ты назовёш ее у хохлов?
     
  20. Магадан

    Магадан Активный участник

    11.689
    475
    Нет смысла спорить на такие темы. Все идет к тому, что рано или поздно мобилизуют всех. По крайней мере к будущему лучше относится так. Если ктото думает что нынче происходящее закончится и начнется мир да благодать - имхо, фантазеры.
     
    Рози, kajuga и michael2000 нравится это.
  21. Bern

    Bern Активный участник

    786
    49
    У РФ - неизвестная! Никто ничё не говорит.
    Это если кто с фронта приехал скажет...
    И то наверное с них подписку берут, чтоб ничё не говорили
     
  22. prapor001

    prapor001 Активный участник

    3.544
    597
    почитать вас,так думаю в ВО тоже были фантазеры?
     
  23. Deceiver

    Deceiver Активный участник

    25.654
    7.796
    вспомни сколько после ВО было горячих точек, где были наши советники. Но тогда была страна, которую ну по крайне мере уважали на международной арене, поэтому все точки были далеко от нас. Сейчас всё в разы стало ближе и стран Варшавского договора больше нет, как и большой страны, СССР !
     
  24. Магадан

    Магадан Активный участник

    11.689
    475
    Спустя год-два после начала первых боевых действий конечно таких не было.
     
  25. Афиноген

    Афиноген Активный участник

    18.060
    2.852
    Вчера друг рассказал что троих мобилизовали со строительной компании. Средний возраст 35 лет
     
  26. Zebra21

    Zebra21 Читатель

    29.084
    4.773
    Не уважали, а боялись, ибо тезис мировой революции наши безумные вожди до 80-х твердили. И не просто тезис, пыжились везде противостоять камерам. Сами с голой жопой, а на ежа прыгали. Ну и допрыгались. О каком уважении ты говоришь? Уважали - это года до 60-го, когда Хрущ начал бомбой угрожать - уже не уважали.
     
  27. Вениамин

    Вениамин Активный участник

    10.460
    1.944
    А че ты удивляешься, мобилизацию никто указом не отменял. Она идет.
    А так и надо. Все эти заискивания и добрые дела во имя человечества-в звезду. Люди как были дикарями, так и остались, ниче не изменилось с течением времени. Во все времена человеки с задором и улюлюканьем резали друг другу глотки. Че поменялось? В дружбу народов играть начали после второй мировой? Хрена с два. Только язык силы, только страх одних перед другими, вот залог успеха и процветания первых.
     
    olegun нравится это.
  28. Zuka58

    Zuka58 Активный участник

    4.559
    873
    а тех, кто этой бомбой не угрожал, а сразу сбросил. а потом еще раз сбросил. их вот теперь уважают или боятся?
    по твоей этой логике тут как выходит? расскажи понятно
     
  29. Zebra21

    Zebra21 Читатель

    29.084
    4.773
    Чего тогда жаловаться на русофобию, если её и взращивали целенаправленно?