Консультирую по вопросам ЖКХ (начисления,работа УК,Наш двор-наш-дом и пр.)

Тема в разделе "Управдом", создана пользователем sdk, 01.01.17.

  1. Dir

    Dir Активный участник

    4.162
    574
    А заглянуть в свою платёжку не суждено?
    Z.jpg
    Вот моя платёжка, прошлогодняя (видите вверху ноябрь 2016), то есть период, в котором жильцы, по-вашему, якобы, ПОЛНОСТЬЮ оплачивали разницу.
    Теперь смотрим ниже ОДПУ по холодной воде за месяц = 712 м3. Начислено:
    - по щёчикам - 233,27 м3,
    - по нормативу - 190,8 м3,
    а на общие нужды - 20,49 м3.
    Теперь сложим эти числа 233,27+190,8+20,49 = 444,56 м3.
    А теперь сминусуем 712 - 444,56 = 267,44 м3
    А теперь скажите КТО украл эти 267,44 м3 и КТО оплатил эти 267,44 м3? У нас эту разницу оплачивает УК.
    Я, как видите, оплатил на общедомовые нужды холодной воды всего 0,02 м3.
    Ну, а если в вашем доме эту разницу оплачивают жильцы, так
    а не быть терпилами.
     
  2. cottager

    cottager Активный участник

    1.525
    1.020
    В Вашей УК работают явно не альтруисты и возникшую разницу и
    только с других статей, т.е. с СиР
    Спасибо за предоставленную к посту квитанцию. Но здесь Dir есть один ньюнс. Ранеесогласно п. 44 ПП 354 исполнитель оплачивал за счет собственных средств превышение объема КУ, предоставленной на ОДН, исходя из показаний ОПУ над объемом исходя из норматива, предоставленного на ОДН.
    С 29 июня 2016 г.,этого абзаца в ПП №354 нет. Поэтому как в
    за "свой счёт" непонятно.
    Впрочем с 1.01.2017 вступили в силу новые изменения по ОДН, с интересом жду "жировку" за январь.
    И начисление за отопление у Вас нехилое. Посмотрел свою платёжку, в ноябре, за 54.4 м2 - 1287р.
     
  3. Dir

    Dir Активный участник

    4.162
    574
    Для меня это не новость.
    ПП 354 даёт право УК выявлять "резиновые квартиры" без установленных ИПУ, составлять акты о количестве фактически проживающих потребителей ком.услуг и взимать с них плату по нормативу. Пусть пользуются своим правом и не оплачивают сворованное за "свой счёт".
    В нашем доме размер СиРОДИ РЕАЛЬНО утверждает ОСС. Поэтому какую часть из этих денег (или денег собранных с других домов-терпил) УК тратит на оплату сворованных КУ, мне совершенно параллельно.
    С января 2017 в оплате сворованных КУ в нашем доме без изменений.
    z2.jpg
    В январе в нашем доме украдено 153,69 м3 холодной воды. Оплачивать их будет УК.
    Размер ОДН на весь дом как был в 2016 году так и остался 20,49 м3.
    Я как платил с 2016 году 5,62 руб. за холодную воду на ОДН, так и плачу в 2017 году.
     
  4. vs777

    vs777 Активный участник

    3.712
    962
    А у нас за 57м2 за ноябрь - 2200р. Почти на 1000р (!) больше. Это к вопросу о перетопе (или мухляже с показаниями ОДПУ на ТЭ). Думаю, начать надо именно с проверки правильности показаний, если все ок, значит точно перетоп. Запросил у УК ведомости потребления ТЭ за пару лет, любопытно будет сравнить.

    Простите, но раз уж вы сами тут платежку показали - у вас 21 руб почти на СиРОДИ. Это у вас ОСС приняло? Если да, то в чем смысл такого ОСС?
     
  5. Dir

    Dir Активный участник

    4.162
    574
    Эти вопросы о чём?
     
  6. vs777

    vs777 Активный участник

    3.712
    962
    Просто хотел узнать в чем смысл на ОСС принимать сумму платежей за СиРОДИ, близкую к муниципальной (24 руб)?
     
  7. Dir

    Dir Активный участник

    4.162
    574
    "Наша муниципальная" 25 с копейками, но это порочная постановка вопроса.
    Нет и не может быть никаких муниципальных цен для МКД, которыми владеют собственники.
     
  8. Dir

    Dir Активный участник

    4.162
    574
    Вы имеете представление как выглядит протокол прибора учёта тепла и как проверить "правильность" указанных там значений? Знаете как выглядит счётчик тепла? Как можно проверить какое было в тот или иной момент времени давление, расход, температура теплоносителя на входе в дом и на его выходе? Собственно те показатели, с помощью которых можно высчитать те заветные Г/калории.
    На протокол можно посмотреть как "на новые ворота" и не более того.
     
  9. cottager

    cottager Активный участник

    1.525
    1.020
    И поэтому в домах нашего ТСЖ плата за СиР -16.62 р/м2
     
  10. Dir

    Dir Активный участник

    4.162
    574
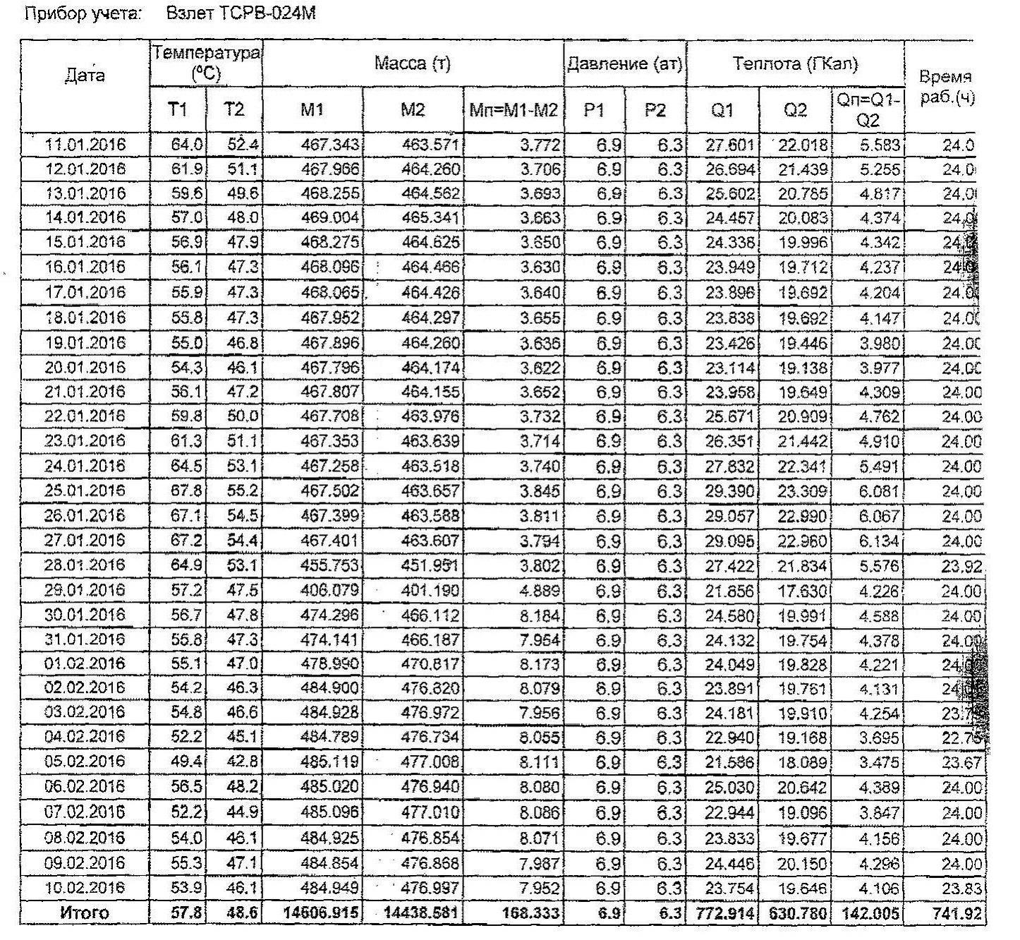
    В прошлом году народ нашего дома захотел узнать правду про отопление. Я запросил "правду" в УК, получил её и передал жаждущим. Как думаете, из представленного отчёта можно выяснить обманули наш дом в расчётах с отоплением или нет?
    Ведомость.jpg
     
  11. vs777

    vs777 Активный участник

    3.712
    962
    Вот это уже больше похоже на адекватное решение ОСС по СиР. Единственный вопрос - дом при этом в порядке, т.е. на все виды работ по обслуживанию дома этих денег хватает?

    Я в курсе, что там "филькина грамота" для человека со стороны. Но что-то мне не верится, что вы были полностью удовлетворены предоставленной инфой. Ведь наверняка есть способы проверки показаний ОДПУ ТЭ.
     
  12. jimdg

    jimdg Активный участник

    1.361
    0
    Странное размышление вне контекста того, в каком составе ОДИ обслуживается дом.
     
  13. vs777

    vs777 Активный участник

    3.712
    962
    Речь не о конкретном доме, а о "среднестатистическом".
     
  14. jimdg

    jimdg Активный участник

    1.361
    0
    Как можно нарисовать среднестатистический дом, если состав ОДИ совершенно разный для разных домов. Да и для одинаковых тоже зачастую разный.
     
  15. vs777

    vs777 Активный участник

    3.712
    962
    Есть даже такая наука - статистика. ;)
     
  16. jimdg

    jimdg Активный участник

    1.361
    0
    И как эта наука поможет сделать стоимость обслуживания 9-этажки с мусоропроводом и лифтом дешевле пятиэтажки без этих приблуд?
     
  17. cottager

    cottager Активный участник

    1.525
    1.020
    Обычная
    с "типичным" составом ОИ
     

    Вложения:

    • 3011294506.jpg
      3011294506.jpg
      Размер файла:
      233,4 КБ
      Просмотров:
      525
  18. cent

    cent Активный участник

    1.219
    282
    Что-то ТС после вопроса не в бровь, а в глаз :eyes: резко слился с темы. :hah: Хотя форум посещает. :coolz:
     
  19. vs777

    vs777 Активный участник

    3.712
    962
    Даже не вдаваясь в подробности, самый очевидный довод: с 9-ти этажки (опять же - среднестатистической) элементарно бабла больше можно срубить. Именно поэтому даже где-то здесь на форуме писали про многоэтажки с тарифами по 16-18. И УК не против.
    UPD
    Этот же довод останавливает и меня лично от поднятия вопроса о проведении ОСС с целью снижения тарифа на СиР - дом у нас маленький, нет никаких гарантий, что УК не начнет "динамить" или вовсе откажется от обслуживания.

    ---------- Сообщение добавлено 06.02.2017 15:06 ----------

    Тут у нас уже свое обсуждение пошло, конкретно ему вопросов никто не задает, может поэтому и не пишет...
     
  20. jimdg

    jimdg Активный участник

    1.361
    0
    Видимо, все же ТСЖ в новостройке рулит по цене. Интересно было бы глянуть на расходы по содержанию...

    ---------- Сообщение добавлено 06.02.2017 15:10 ----------

    Где бы почитать про 5-этажки. При муниципальных 19 с чем то можно, получается и до 10 опустить цену (хотя у нас, например, самый очевидный попил бабла - это уборка территории, которой в составе ОДИ нету)
     
  21. vs777

    vs777 Активный участник

    3.712
    962
    Я уже тоже выше поинтересовался, хватает ли 16 руб на весь этот праздник жизни. Может просто люди не воруют? А такое вообще у нас бывает? :shuffle:

    ---------- Сообщение добавлено 06.02.2017 15:21 ----------

    Опустить то можно, но реакция УК на это, мягко говоря, непредсказуема. Чем меньше дом - тем меньше "предсказуемость"...
     
  22. cottager

    cottager Активный участник

    1.525
    1.020
    Вполне возможно, что это Вы сможете узнать здесь http://www.rosteplo.ru/forum/4/6602/
     
  23. hunter1981

    hunter1981 Активный участник

    811
    15
    Была платежка за декабрь за содержание жилого помещения и комм услуги в ней было три строки:
    1) Содержание ОИ -521.66
    2) Вывоз ТБО - 41,67
    3) ТО ВДГО - 6,53
    Итого за декабрь - 570.06
    В январе добавили строку "Коммунальный ресурс ЭЭ на СОИ" - 59.65
    Итого за январь - 629,71
    Я так понимаю на нас пытаются нагреться? Или же это все в рамках постановления РФ №1498?
     
  24. sdk

    sdk Новичок

    35
    0
    Уважаемые форумчане!
    Я по-прежнему жду вопросов. Готов на них отвечать. Делясь опытом, а не цитируя законы. И никуда из темы не слился!..
     
  25. Dir

    Dir Активный участник

    4.162
    574
    Опыт беззакония выгоден УК, но не собственникам. Рассказывать
    нет смысла. Мы и так видим нечищеные дворы, грязные, обшарпанные и тёмные подъезды, фальсифицированные протоколы ОСС, нежелание сдавать собственникам по актам выполненные работы и т.д. и т.п.
     
  26. jimdg

    jimdg Активный участник

    1.361
    0
    Эту же строку убрали из строки с оплатой за ЭЭ. Сколько можно об одном и том же.
     
  27. hunter1981

    hunter1981 Активный участник

    811
    15
    В платежке за электричество и не было такой строки
     
  28. jimdg

    jimdg Активный участник

    1.361
    0
    Если не сложно, покажете? А за воду были?
     
  29. Device=Installed

    Device=Installed Активный участник

    894
    24
    Вот - Январская пришла:
     
  30. Zazell

    Zazell Активная

    25.628
    66
    В декабрьской платежке увидела присутствует строка ГВС коэффициент:
    столбец остаток на 01.12.2013 738,46 руб.
    столбец начисления 523,34 руб.

    Это что? :confused: Счетчиков нет.

    На обороте платежки вижу информируют о том, что с 01.01.2017 при отсутствии ИПУ применяется коэффициент 1,5. Но почему в декабрьской платежке? И в ноябрьской судя по всему.
    И откуда этот коэффициент? УК придумала или что-то законное? И куда жаловаться?